1ST TERM

JSS 3 Class
admin
Site Admin
Posts: 1
Joined: Thu Oct 09, 2025 11:07 am

WEEK 10

Post by admin »

LESSON 37
TOPIC: PROFIT AND LOSS
REFERENCE BOOK: Macmillan Progressive Mathematics for JS2 Page 23
BEHAVIOURAL OBJECTIVES: At the end of this lesson, students should be able to:
(1) Explain the meaning of profit
(2) Explain the meaning of loss
(3) Solve problems on profit and loss.

CONTENTS
Profit is the amount realized over the cost price of an item.
(1) Profit = Selling price - cost price
(2) Selling price = cost price + profit
(3) Cost price = selling price - profit
(4) Loss = cost price - selling price

Image

EXAMPLE 1:
An article was bought for #200 and sold for #250. What is the profit?
Cost price = #200.
Selling price = # 250
Profit = SP - CP
#250 - #200
#50

EXAMPLE 2:
A radio which cost #3000 was sold at a profit of #600. Find the selling price.
Selling price = CP + PROFIT
Cost price = #3000
Profit = #600
Selling price = #3000 + #600
#3600


EXAMPLE 3
An article was sold for #1500 at a profit of #200. Find the cost price.
Cost price = SP - PROFIT
= #1500 - #200
= #1300
Loss = cost price - selling price

Example : A man bought a dozen mangoes for #180 and sold each of them for #10. Find the loss.
solution
Cost price = #180
Selling price = 12 x #10
= #120
Loss = #180 - #120
= #60

https://youtu.be/1nuRxCEe9m8

EVALUATION: Macmillan Progressive Mathematics for JS2 Page 24 Exercise 3 Questions 1, 2 and 7

ASSIGNMENT: Answer questions 8, 9 and 10 from Macmillan Progressive Mathematics 2, Page 24 Exercise 3.

further studies
Study More...

Study More...







LESSON 38
TOPIC: Percentage profit or loss
REFERENCE BOOK: Mathematics Inside Out Page 121
BEHAVIOURAL OBJECTIVES: At the end of this lesson, students should be able to:
(1) Find percentage profit
(2) Find percentage loss.

CONTENTS
Example:
Percentage profit = gain/cost price x 100
Percentage loss = loss/cost price x 100

Image

Example 1:
A man bought a bag for #250 and sold it for #300. Find the gain %
Cost price = #250
Selling price = #300
Gain =#300 - #250 = #50
% gain = 50/250 x 100%
20%

Example 2:
An article was bought for #500 and sold for #450. Find the loss%
Cost price = #500
Selling price = #450
Loss = #50
Loss% = 50/500 x 100%
10%

https://youtu.be/drTcDXUUyTY

EVALUATION: Mathematics Inside Out Page 122, exercise 14.9, questions 5, 6 and 7.

ASSIGNMENT: Answer questions 2, 3 and 4 from Mathematics Inside Out, Page122, exercise 14.9

further studies
Study More...

Study More...





LESSON 39
TOPIC: Finding the cost price when given the selling price and gain or loss%
REFERENCE BOOK: Mathematics Inside Out, Page 123
BEHAVIOURAL OBJECTIVES: At the end of this lesson, students should be able to calculate the cost price given selling price and gain or loss%

CONTENTS
Image

Example: What is the cost price of an article, given the selling price and gain% as #40 and 25% respectively?
Selling price = #40
Gain% = 25%
X = 100% + 25% = 125
CP/40 = 100/125
125CP = 40 x 100
CP = 4000/125 = #32

EXAMPLE 2
By selling an article for #35, a trader loses 30%. How much did he buy it?
Selling price = #35
Loss% = 30%
X = 100% - 30% = 70%
CP/35 = 100/70
70CP = 3500
CP = 3500/70
CP = #50

https://youtu.be/bOpjE42tKVk

EVALUATION: Answer questions 2 and 9 from Mathematics Inside Out Page 124.

ASSIGNMENT: Answer questions 3 and 8 from Mathematics Inside Out Page 124





LESSON 40
TOPIC: Finding the selling price when the cost price and gain or loss% are given.
REFERENCE BOOK: Mathematics Inside Out, Page 124.
BEHAVIOURAL OBJECTIVES: At the end of this lesson, students should be able to find the selling price when cost price and gain or loss% are given.

CONTENTS
Image

Example
Find the selling price of an article which was bought for #600 and sold at a loss of 25%.
Cost price = #600
Loss% = 25%
X = 100% - 25%
X = 75
600/SP = 100/75
100SP = 600 X 75
SP = #450

EXAMPLE 2
A trader bought an article for #75 and sold it at a profit of 24%. Find the selling price.
Cost price = #75
Gain% = 24%
X = 100% + 24%
X = 124
75/SP = 100/124
100SP = 75 X124
SP = 9300/100
SP = #93

https://youtu.be/S_cIRSM5bQE

EVALUATION Answer questions 6 and 7 from Mathematics Inside Out, Page 124.

ASSIGNMENT Answer questions 8 and 9 from Mathematics Inside Out, Page 124.
admin
Site Admin
Posts: 1
Joined: Thu Oct 09, 2025 11:07 am

WEEK 11

Post by admin »

LESSON 41
TOPIC: Simultaneous Equations (Substitution Method)
REFERENCE BOOK: Stan Mathematics for JS 3, page 114.
BEHAVIOURAL OBJECTIVES: At the end of this lesson, students should be able to solve simultaneous linear equations using substitution method.

Image

CONTENTS
Example 1
Solve: x - y = 3 - equation 1
2x + 3y = 15 - equation 2
From equation 1, x = 3 + y

Substitute for x in equation 2
2(3 + y) + 3y = 16
6 + 2y + 3y = 16
6 + 5y = 16
5y = 16 - 6
5y = 10
Y = 2

Substitute for y in equation 1
X - y = 3
X - 2 = 3
X = 3 + 2
X = 5

Example 2
X + 2y = 6
3x - y = -10

From equation 1, x = 6 - 2y
Substitute for x in equation 2
3(6 - 2y) - y = -10 ------- substitute for y in equation 1
18 - 6y -y = -10 ------- x + 2(4) = 6
18 - 7y = -10 ------- x = 6 - 8
18 + 10 = 7y ------- x = -2
28 = 7y ------- Thus, x = -2, y = 4
28/7 = y
4 = y

Image

Image

https://youtu.be/8ockWpx2KKI

EVALUATION: Answer the following questions.
(a) X + 2y = 9 (c) x + 3y = - 4
3x - 4y = 7 x + y = 0
(b) 3x -2y = 4 (d) x = 3y + 2
X - 4y = 8 y = 3x + 2

Image

ASSIGNMENT Stan Mathematics for JS3, Page 114, Questions 3, 7, and 18

further studies
Study More...





LESSON 42
TOPIC: Simultaneous Equations (substitution method contd.)
REFERENCE BOOK: Stan Mathematics for JS3, Page114.
BEHAVIOURAL OBJECTIVES: At the end of this lesson, students should be able to solve simultaneous linear equations by substitution method.

Image

CONTENTS
Example 1
Solve: 3x - y = 17
2x + y = 8
From equation 2: y = 8 - 2x ------- substitute for x in equation 2
Substitute for y in equation 1 ------- 2(5) + y = 8
3x - (8 - 2x) = 17 ------- 10 + y = 8
3x - 8 + 2x = 17 ------- y = 8 - 10
3x + 2x = 17 + 8 ------- y = -2
5x = 25 x = 5

Example 2
Solve: y = 10 - 2x substitute for x in equation 1
Y = 36 + 4x y = 10 - 2(- 13/3)
The value of y in equations 1 and 2 is the same y = 10 + 26/3
Therefore, 10 - 2x = 36 + 4x y = 10 + 8 2/3
10 - 36 = 4x + 2x y = 18 2/3
-26 = 6x
-26/6 = x
X = -13/3

https://youtu.be/it3vYdV_oyc

EVALUATION: Solve:
(a) X + y = 4, 2x - y = 5
(b) Y - 2x =1, 3x - 4y = 1
(c) a - 2b = 9, 2a + 3b = 4

ASSIGNMENT Solve:
(a) 2a + b = 19, 3a - 2b = 11
(b) X + 2y = 7, 3x - 2y = -3






LESSON 43
TOPIC: Simultaneous Equations (word problems)
REFERENCE BOOK: New General Mathematics f or JS3, Page139.
BEHAVIOURAL OBJECTIVES: At the end of this lesson, students should be able to

Image

CONTENTS
Example1
The sum of two numbers is 19. Their difference is 5. Find the numbers.
Let the numbers be x and y.
X + y = 19
X - y = 5
From equation 1: x = 19 - y ----- substitute for y in equation 1
Substitute for x in equation 2 ----- x + 7 = 19
19 - y - y = 5 ----- x = 12
19 - 2y = 5
19 - 5 = 2y
14 = 2y
7 = y

Example 2
A jotter and three rulers cost #240 and two jotters and five rulers cost #450. How much does a jotter cost?
J + 3r = 240
2j + 5r = 450

From equation 1, j = 240 - 3r
Substitute for j in equation 2
2(240 - 3r) + 5r = 450
480 - 6r + 5r = 450
480 - r = 450
480 - 450 = r
30 = r

Substitute for r in equation 1
J + 3 x 30 = 240
J + 90 = 240
J = 240 - 90
J = 150

Therefore a jotter costs #150

https://youtu.be/tGiUSM5vaMY

https://youtu.be/KWjbRjoClDQ

EVALUATION:
Answer questions 1 and 5 from Macmillan Progressive Mathematics for JS3,Page 72.

ASSIGNMENT
Answer questions 13 and 14 from Macmillan Progressive Mathematics for JS3, Page 72





LESSON 44
TOPIC: Simultaneous Equations (word problems)
REFERENCE BOOK: Macmillan Progressive Mathematics for JS3, Page 73.
BEHAVIOURAL OBJECTIVES: At the end of this lesson, students should be able to solve word problems on simultaneous linear equations.

CONTENTS
A father is 15 years older than his son. The sum of their ages is 45 years.
Find their ages.
Let the age of the father be x and the that of the son be y
Hence, x - y = 15
X + y = 45

From equation 1, x = y + 15
Substitute for x in equation 2
Y + 15 + y = 45
2y + 15 = 45 - 15
2y = 30
Y = 15

Substitute for y in equation 2
X + 15 = 45
X = 45 - 15
X = 30

Example 2
The sides of an equilateral triangle are 3x - 3, 2x + 3 and 4y - 1. Find the values of x and y.
Hint: In equilateral triangles, all the sides are equal.
Therefore, 3x -3 = 2x + 3
3x - 2x = 3 + 3
X = 6
Also, 2x + 3 = 4y - 1
Hence, 2(6) + 3 = 4y - 1
12 + 3 = 4y - 1
15 = 4y - 1
15 + 1 = 4y
16 = 4y
16/4 = y
4 = y

https://youtu.be/EOOWVLSockw

https://youtu.be/MFfWfu6Q76A

EVALUATION
Answer questions 2 and 10 from New General Mathematics for JS3, Page 140.

ASSIGNMENT
Answer questions 9, 12 and 16 from New General Mathematics for JS3, Page 140.
admin
Site Admin
Posts: 1
Joined: Thu Oct 09, 2025 11:07 am

REVISION TOPICS

Post by admin »

LESSON 45
TOPIC: Factorization (common factors)
REFERENCE BOOK: New General Mathematics for JS3, Page 29.
BEHAVIOURAL OBJECTIVES: At the end of this lesson, students should be able to find the HCF of algebraic expressions.

Image

CONTENTS
Example 1
Find the HCF 6xy and 18x2
6xy = 2 . 3 . x . y
18x2 = 2. 3. 3. X. x .
HCF = 2. 3. X.
= 6X


EXAMPLE 2
Find the HCF of 6x and 15y
6x = 2. 3. X
15y = 3. 5. Y
HCF = 3


EXAMPLE 3
Find the HCF of ab2 and a2b
ab2 = a. b .b
a2 b = a. a. b
HCF = ab

Image

EVALUATION:
Find the HCF of:
(a) 7mnp and 42mp
(b) 9xy and 24pq
(c) 13ab and 26b
(d) 6x and 15y

ASSIGNMENT
Answer questions 9, 10, 11 and 12 from New General Mathematics for JS3, Page 29, exercise 3b.

further studies
Study More...

practice test
Short Practice test




LESSON 46
TOPIC: Factorization of binomial expressions
REFERENCE BOOK: New General Mathematics for JS3, Page 30
BEHAVIOURAL OBJECTIVES: At the end of this lesson, students should be able to factorize given binomial expressions.

Image Image

CONTENTS
Example 1
Factorize: 9a - 3z
The HCF of 9a and 3z is 3.
=3( 9a/3 - 3z/3)
= 3(3a - z)

Example 2
Factorize 5x2 + 15x
The HCF of the expression is 5x
= 5x(x + 3)

Example 3
Factorize 2mh - 8m2 h
The HCF of the expression is 2mh.
= 2mh(1 - 4m)

Image

https://youtu.be/Wltm0KXjzmk

EVALUATION
Answer questions 6 - 10 on page 30 of New General Mathematics for JS3.

ASSIGNMENT
Answer questions 11 - 15 on page 30 of New General Mathematics for JS3.






LESSON 47
TOPIC Factorization of larger expressions
REFERENCE BOOK: New General Mathematics f or JS3, Page 30.
BEHAVIOURAL OBJECTIVES: At the end of this lesson, students should be able to factorize larger binomial expressions.

Image

CONTENTS
Example 1
Factorize: 2x(5a + 2) -3y(5a + 2)
The common factor is 5a + 2
= (5a + 2)(2x - 3y)

Example 2
Factorize: 3m + m(u - v)
= 3m + mu - mv
= m(3 + u - v)

Example 3
Factorize: 3h(5u - v) + 2k(5u - v)
The common factor is 5u - v
= (5u - v)(3h + 2k)

Image

https://youtu.be/c5d_8jQX7PQ

EVALUATION:
Answer questions 1 - 5 from New General Mathematics for JS3, Page 31, exercise 3d

ASSIGNMENT
Answer questions 6 - 10 from New General Mathematics for JS3, Page 31, exercise 3d





LESSON 48
TOPIC: Simplifying calculations by factorization
REFERENCE BOOK: New General Mathematics for JS3, Page 32.
BEHAVIOURAL OBJECTIVES: At the end of this lesson, students should be able to simplify calculations by factorization.

Image

CONTENTS
Example 1
Simplify: 79 x 37 + 21 x 37
37 is a common factor
= 37(79 + 21)
= 37(100)
= 3700

Example 2
Factorize the expression #r2 + 2#rh, hence find the value of the expression when # = 22/7, r = 14 and = 43.
#r2 h + 2#rh = #r(r + 2h)

= 22/7 x 14(14 + 2 x 43)

= 22 x 2(14 + 86)
= 44 x 100
= 4400

Image

Image

https://youtu.be/ZGmKQa45PVw

EVALUATION
Answer questions 1, 2 and 16 from New General Mathematics for JS3, Page 32.

ASSIGNMENT
Answer questions 3, 4 and 17 from New General Mathematics for JS3, Page 32.





LESSON 49
TOPIC: Factorization by grouping
REFERENCE BOOK: New General Mathematics f or JS3, page 32
BEHAVIOURAL OBJECTIVES: At the end of this lesson, students should be able to factorize given algebraic expressions by grouping

Image

CONTENTS
Factorize: cx + cy + 2dx + 2dy
By grouping: (cx + cy) + (2dx + 2dy)
= c(x + y) + 2d( x + y)
= (x + y)(c + 2d)

Example 2
Factorize 3a - 6b + ax - 2bx
= (3a - 6b) + (ax - 2bx)
= 3(a - 2b) + x(a - 2b)
= (a - 2b)(3 + x)

Example 3
Factorize 2x2 - 3x + 2x - 3
= (2x2 - 3x) + (2x - 3)
= x(2x - 3) + 1(2x - 3)
= (2x - 3)(x + 1)

Image

https://youtu.be/apCmfszdXZA

https://youtu.be/NYMpf4fdnbY

EVALUATION:
Factorize questions 1 - 4 on page 33, exercise 3f of New General Mathematics for JS3.

ASSIGNMENT
Factorize questions 5 - 10 on page 33, exercise 3f of New General Mathematics for JS3.
admin
Site Admin
Posts: 1
Joined: Thu Oct 09, 2025 11:07 am

REVISION TOPICS

Post by admin »

LESSON 50
TOPIC: Factorization of quadratic expressions
REFERENCE BOOK: New General Mathematics for JS3, Page 92
BEHAVIOURAL OBJECTIVES: At the end of this lesson, students should be able to expand products directly.

Image

CONTENTS
Example1
Find the product of (x + 2) and (x - 5)
(x + 2)(x - 5) = x(x - 5) +2(x - 5)
= x2 - 5x + 2x -10
= x2 -3x -10

Co-efficient of terms
Example:
Find the coefficient of x in the expansion of
(x + 9)(x + 3)
= x(x + 3) +9(x + 3)

Example 2
Expand: (2c - 3m)(c - 4m)
= 2c(c - 4m) -3m(c - 4m)
= 2c2 - 8cm - 3cm +12m2
= 2c2 - 11cm + 12m2

= x2 + 3x + 9x + 27
= x2 + 12x + 27
The coefficient of x is 12

Example3
Expand: (3a + 2)2
= (3a + 2)(3a + 2)
= 3a(3a + 2) +2(3a + 2)
= 9a2 + 6a + 6a + 4
= 9a2 + 12a + 4

Image

https://youtu.be/qeByhTF8WEw

https://youtu.be/eF6zYNzlZKQ

EVALUATION
Answer questions 1 - 6 on page 92 of New General Mathematics for JS3.

ASSIGNMENT
Answer questions 7 - 12 on page 92 of New General Mathematics for JS3.

further studies
Study More...






LESSON 51
TOPIC: Factorization of quadratic expressions
REFERENCE BOOK: New General Mathematics f or JS 3
BEHAVIOURAL OBJECTIVES: At the end of this lesson, students should be able to solve factorization of quadratic expressions where the coefficient of x2 is 1

CONTENTS
Example 1
Factorize: x2 + 7x + 10
The problem is to look for the product of the last term whose sum will give the value of middle figure.
The last term is 10

Possible products of the last term are:
(a) 10 and 1
(b) +5 and+ 2
(c) - 10 and -1
(d) - 5 and - 2
Out of these, only the sum of+ 5 and+2 will give +7.

Hence, open two brackets
( )( )
Put x in each bracket
(x )(x )
Insert +5 and +2 in each bracket
= (x + 5)(x + 2)

Image

https://youtu.be/5iKS2t6u1FA

EVALUATION:
Answer questions 1 - 4 on page 95 of New General Mathematics for JS3.

ASSIGNMENT
Answer questions 5 - 9 on page 95 of New General Mathematics for JS3.

further studies
Study More...




LESSON 52
TOPIC: Factorization of quadratic expressions (contd.)
REFERENCE BOOK: New General Mathematics for JS3 Page 96.
BEHAVIOURAL OBJECTIVES: At the end of this lesson, students should be able to factorize quadratic expressions with negative coefficient of x.

Image

CONTENTS
Factorize: x2 - 9x + 8
Find two numbers such that their product is +8 and their sum is - 9.
The possible pairs are:
+8 and +1 = +9
+4 and +2 = +6
-8 and -1 = -9
-4 and -2 = -6
Only -8 and -1 gives -9
Therefore x2 -9x + 8 = (x - 8)(x - 1)

Example 2
Factorize: x2 - 5x + 6
The possible pairs that could give the coefficient at the middle are:
+1 and +6
+2 and +3
-2 and -3
Only -2 and -3 will give -3
Therefore x2 -5x + 6 = (x - 2)(x - 3)

Image

https://youtu.be/7TtlL8or1hs

EVALUATION
Answer questions 1 - 4 on page 96 of New General Mathematics for JS3.

ASSIGNMENT
Answer questions 5 - 9 on page 96 of New General Mathematics for JS3.





LESSON 53
TOPIC: Difference of two squares
REFERENCE BOOK: New General Mathematics f or JS 3
BEHAVIOURAL OBJECTIVES: At the end of this lesson, students should be able to expand and factorize expressions involving difference of two squares.

Image

CONTENTS
Example 1
Factorize: y2 - 4

= y2 - 2 +2

= (y - 2)(y + 2)

Example 2
36 - 9a2

= 62 - (3a)2

= (6 - 3a)(6 + 3a)

Example 3
Factorize: 5a2 - 45

= 5(a2 - 9)

= 5(a2 - 32)

= 5(a- 3)(a + 3)

Example 4
Factorize: 25m2 - 16n2

= (5m)2 - (4n)2

= (5m - 4n)(5m + 4n)

Image

https://youtu.be/_qyVzH3e1dY

https://youtu.be/KVNLjFei51o

EVALUATION:
Answer questions 1 - 5 on page 99 of New General Mathematics for JS3.

ASSIGNMENT
Answer questions 20 - 24 on page 99 of New General Mathematics for JS3.

practice test
Short Practice Test
admin
Site Admin
Posts: 1
Joined: Thu Oct 09, 2025 11:07 am

REVISION TOPICS

Post by admin »

LESSON 54
Topic: Factorization
Specific topic: Removing Brackets
Behavioral objective: At the end of the lesson, student should be able to: remove brackets from algebraic expression.
Reference book: New General Maths for JSS 3 Page 29

Image

Content
(i) Removing brackets
The expression 3 (2x - y) means three times (2x - y) i.e 3 x 2x - y
= 3(2x - y) = 3 X 2x - 3 X y
= 6x - 3y

(ii) (3a + 8b)5a
= 3a X 5a + 8b X 5a
= 15a2 + 40ab

(iii) -2n(7y-4z)
= (-2n) X 7y - (-2n) X 4z
= -14ny - (-8nz)
= 14ny + 8nz OR
= 8nz - 14ny

Image

Evaluation: Remove brackets from the following
(i) 2(x+y) (vi) (-p+q)4
(ii) 5(7-a) (vii) -8(a+4f)
(iii) (n+a)3 (viii) -9(2k-3r)
(iv) 8(2a-h) (ix) (-7s+t)(+6)
(v) -3(a-b) (x) x(x+2)

http://www.youtube.com/watch?v=7JzbwUNyHrc

Assignment: Solve; Exercise 3a, page 29, question 17-24

further studies
Study More...

Study More...


practice test
https://drive.google.com/file/d/0Bz3Mh6 ... sp=sharing







LESSON 55
Topic: Common Factor
Behavioral objective: At the end of the lesson, student should be able to: factorize algebraic expressions by taking common factors.
Reference book: New General Maths for JSS 3 Page 29

Image

Content
(i) Find the HCF of 6xy and 18x2
6xy = 6 x X x Y
18x2 = 3 x 6 x X x X
6 and x are common
;. HCF = 6 x X = 6X

(ii) Find the HCF of 30ad and 28ax
30 ad = 2 x 3 x 5 x a x d
28 ax = 2 x 2 x 7 x a x X
HCF = 2 x a = 2a

Image

Evaluation: Find the HCF of;
(i) 5xy and 15x
(ii) 12a and 8a2
(iii) 13ab and 26b
(iv) ab2 and a2b
(v) 7mnp and mp

https://youtu.be/6PWXdE2hRO4


Assignment: Solve; Exercise 3b, page 29, question 7 - 12

further studies
Study More...

Revision
https://youtu.be/LDIiYKYvvdA
admin
Site Admin
Posts: 1
Joined: Thu Oct 09, 2025 11:07 am

REVISION TOPICS

Post by admin »

LESSON 56
Topic: Substitution and change of subject
Behavioral objective: At the end of the lesson, student should be able to substitute values in a formula
Reference book: New General Maths for JSS 2 page 53

Image

Content
A formula is an equation with letters which stand for quantities
e.g C = 2 r

Examples: A gas at a temperature of 0c has an absolute temperature of TK, where T =  + 273
(a) Find the absolute temperature of a gas at a temperature of 680c.
(b) If the absolute temperature of a gas is 380k, find its temperature in 0c
(a) T  = + 273
When  = 68
T = 68+273 = 341
;. The absolute temperature = 341k
(b) T =  +273
When T = 380
380 =  +273
380 - 273 = 
107 = 
The temperature of the gas is 1070C

(b) The weekly cost, C naira, of running a household of n people is given by the formula C = 180n + 450
Find the weekly cost for 5 people
C = 180 + 450
When n = 5
;. C = (180 X 5) + 450
= 900 + 450
= 1350

https://youtu.be/4T1p90Zh8as

Evaluation: New general maths for JSS 3, page 54, Ex 6a. Qus. 1 - 4

Assignment: new general Maths for JSS 3, page 54, Ex. 6a, Qus. 5, 6 and 7

further studies
Study More...


practice test
Practice More...





LESSON 57
Topic: Change of subject
Behavioral objective: At the end of the lesson, student should be able to change the subject of a formula.
Reference book: New General Maths for JSS 3 page 57

Image

Content

(i) make P the subject of the formula; I = PRT/100

Multiply both sides by 100

100 I = PRT

divide both sides by RT

100 I/RT = P

(ii) Make x the subject of the formula
y = x - 9
add a to both sides
y+a = x
or x = y+a

(iii) Make x the subject of the formula
h/x = k
cross multiply
xk = h
divide the both sides by k
;. x = h/k

Image

Evaluation: New General Maths for JSS 3, page 58, Ex 6d. Qus. 1 - 10

Assignment: New General Maths for JSS 3, page 58, Ex. 6d, Qus. 21 and 30


further studies
http://www.math-only-math.com/changing- ... rmula.html

practice test
http://www.syvum.com/cgi/online/tgamef. ... ula2.tdf?0




LESSON 58
Topic: Change of subject
Behavioral objective: At the end of the lesson, student should be able to change the subject of given formulae
Reference book: New General Maths for JSS 3 page 59

Image

View Content below
Image

https://youtu.be/UmGqhdRKJj8

Evaluation: New General Maths for JSS 3, page 60, Ex 6g. Qus. 1 - 10

Assignment: New General Maths for JSS 3, page 61, Ex. 6g, Qus. 11-20

further studies
https://youtu.be/nWY_SffJYlQ

https://youtu.be/KCZHno0tsZw
admin
Site Admin
Posts: 1
Joined: Thu Oct 09, 2025 11:07 am

REVISION TOPICS

Post by admin »

LESSON 59
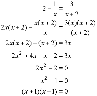
TOPIC: Solving equations involving fractions
REFERENCE BOOK: Macmillan Progressive Mathematics for JS3, Page 16
BEHAVIOURAL OBJECTIVES: At the end of this lesson, students should be able to solve word problems involving fractions.

Image

Image

CONTENTS
Example 1
56 is divided by the sum of 4 and x. If the result is 7, find x.
The sum of 4 and x is 4 + x
Hence, 56/(4 + x) = 7

Cross multiply
56 = 7(4 + x)
56 = 28 + 7x
56 - 28 = 7x
7x = 28

X = 28/7

X = 4

Example 2
I think of a number and divide it by 5, the result is equal to the original number minus 4. Find the number.

Let the number be x

Divide the number by 5: x/5

The result is x - 4

X/5 = x - 4

Cross multiply
X = 5(x - 4)
X = 5x - 20
X - 5x = -20
-4x = -20

X = 20/4

X = 5

Image

https://youtu.be/hsxyAuU1PDM

EVALUATION:
Answer questions 1, 2 and 3 from Macmillan Progressive Mathematics for JS3, Page 16

ASSIGNMENT
Answer questions 6 and 15 from Macmillan Progressive Mathematics for JS3, Page 16

further studies
Study More...






LESSON 60
TOPIC: Word problems involving fractions
REFERENCE BOOK: Macmillan Progressive Mathematics for JS3, Page 16
BEHAVIOURAL OBJECTIVES: At the end of this lesson, students should be able to solve word problems involving fractions

Image

CONTENTS
Example1

Solve 1/(4y - 3) = 2/3y - 2

Cross multiply
2(4y - 3) = 3y - 2
8y - 6 = 3y - 2
8y - 3y = 6 - 2
5y = 4

Y = 4/5

Example 2
If 45 is added to a certain number and the sum is divided by 8, the result is twice the number, find the number.

Let the number be x
45 + x
The sum is divided by 8

(45 + x)/8

The result is twice the number

(45 + x)/8 = 2x

Cross multiply
45 + x = 2x(8)
45 + x = 16x
45 = 16x - x
45 = 15x

45/45 = x

X = 1

https://youtu.be/Y9fpSKkIbHE

EVALUATION
Answer questions 16 and 18 from Macmillan Progressive Mathematics for JS3, Page16

ASSIGNMENT
Answer questions 8 and 19 from Macmillan Progressive Mathematics for JS3, Page 16

further studies
Study More...

practice test
Practice Quiz





LESSON 61
TOPIC: Solving equations (revision)
REFERENCE BOOK Macmillan Progressive Mathematics for JS3, Page16
BEHAVIOURAL OBJECTIVES: At the end of this lesson, students should be able to solve equations involving fractions

CONTENTS
Solve
I walk for x hours at 4km/h and for 2x hours at 3km/hr. If I go 20km altogether, find x.
Distance at 4km/h = 4x km
Distance at 3km/h = 2x(3) km
Therefore 4x + 6x = 20
10x = 20
X = 2
Solve
7/x = 14
Cross multiply
X = 7 x 14
X = 98

Image

https://youtu.be/rCrOpw9EMMk

https://youtu.be/t-RfBljqlRg

EVALUATION:
Answer questions 3 and 4 from Macmillan progressive Maths for JS3, Page 18

ASSIGNMENT
Answer questions 5 and 6 from MACMILLAN Progressive Mathematics for JS3, Page 18

further studies
Study More...

Study More...


practice test
Practice Quiz

Practice Test
admin
Site Admin
Posts: 1
Joined: Thu Oct 09, 2025 11:07 am

REVISION TOPICS

Post by admin »

LESSON 62
TOPIC: Similarity (Identification and properties of similar shapes)
REFERENCE BOOK: Macmillan Progressive Mathematics for JS3, Page 97
BEHAVIOURAL OBJECTIVES: At the end of this lesson, students should be able to identify similar shapes and the scale factor

CONTENTS
Image

https://skydrive.live.com/#!/view.aspx? ... 2A33%21268

Image

Image

https://youtu.be/XtkU4VkWh8I

EVALUATION
Answer questions 1 - 3 from Macmillan Progressive Mathematics for JS3, Page100

ASSIGNMENT
Answer questions 4, 5 and 6 from Macmillan Progressive Mathematics for JS3, Page 100

further studies
Study More...





LESSON 63
TOPIC: Finding lengths of similar shapes
REFERENCE BOOK: Macmillan Mathematics for JS 3, Page 101
BEHAVIOURAL OBJECTIVES: At the end of this lesson, students should be able to calculate the length of similar shapes

CONTENTS (View Below)
Image

https://skydrive.live.com/#!/view.aspx? ... 2A33%21269

Image

https://youtu.be/PFtvC_oD2tY

EVALUATION:
Answer questions 2 and 4 from Macmillan Progressive Mathematics for JS3, Page 105

ASSIGNMENT
Answer questions 9 and 18 from Macmillan Progressive Mathematics for JS3, Page 105

further studies
Study More...

Study More...


practice test
Short Practice Test

view slide show
https://drive.google.com/file/d/0Bz3Mh6 ... sp=sharing






LESSON 64
TOPIC: Area of similar shapes
REFERENCE BOOK: Macmillan Progressive Mathematics for JS3, Page 105
BEHAVIOURAL OBJECTIVES: At the end of this lesson, students should be able to find the area of similar shapes

https://youtu.be/xCdxURXMdFY

Image

CONTENTS
Example 1
The linear scale factor of two similar shapes is 2:3
(a) Find their area scale factor
(b) If the area of the smaller shape is 72 cm square, what is the area of the bigger shape?

Solution
(a) Area scale factor = 22 : 32 = 4 : 9
(b) Area of bigger shape
4 : 9
72 : x

Cross multiply
4x = 72 x 9

X = (72 x 9)/4

X = 162 sq cm

Example 2
The linear scale factor of two similar shapes is 3: 4.
If the area of the bigger shape is 400 sq cm, find the area of the smaller shape
Area scale factor = 32 : 42 = 9 : 16
Area of bigger shape = 400

Area of smaller shape = 9/16 x 400

= 225 sq cm

Image

https://youtu.be/t3mcmTwiDgI

EVALUATION
Answer questions 1 and 2 from Macmillan Progressive Mathematics for JS3, Page 106

ASSIGNMENT
Answer questions 3 and 4 from Macmillan Progressive Mathematics for JS3, Page 106

further studies
Study More...

Study More...

Study More...


practice test
https://drive.google.com/file/d/0Bz3Mh6 ... sp=sharing






LESSON 65
TOPIC: Volume of similar shapes
REFERENCE BOOK: Macmillan Progressive Mathematics f or JS 3, Page 107
BEHAVIOURAL OBJECTIVES: At the end of this lesson, students should be able to calculate the volume of similar shapes

CONTENTS
Example 1
The linear scale factor of two similar solids is 2: 3
(a) Find their volume scale factor
(b) If the volume of the smaller solid is 560 cubic cm, what is the volume of the bigger solid?

Volume scale factor = 23 : 33
= 8 : 27
Volume of smaller solid 560
Volume scale factor 8 : 27
Let the volume of bigger solid be x
Therefore, 8 : 27 = 560 : x
8x = 27 x 560
8x = 15120

X = 15120/8

X = 1890 cm3

Example 2
The linear scale factor of two similar solids is 2 : 5. If the volume of the bigger solid is 625 cubic cm, find the volume of the smaller solid.
Volume scale factor = 23 : 53 = 8 : 125
Volume of smaller solid = 8 : 125
X : 625
125x = 8 x 625

X = (8 x 625)/125

= 40 cubic cm

Image

https://youtu.be/QMI90tONvzQ

https://youtu.be/0cTNIErx94s

EVALUATION:
Answer questions 1 and 2 from Macmillan Progressive Mathematics for JS3, Page108

ASSIGNMENT
Answer questions 3 and 8 from Macmillan Progressive Mathematics for JS3, Page 108

practice test
Practice Quiz
admin
Site Admin
Posts: 1
Joined: Thu Oct 09, 2025 11:07 am

REVISION

Post by admin »

Post Reply

Return to “JSS 3”